Beranda
/ Kunci Jawaban Sejarah Indonesia Kelas 12 Kurikulum 2013 Penerbit Erlangga - Kunci Jawaban Ekonomi Kelas 12 Kurikulum 2013 Cara Golden : Apr 15, 2021 · kunci jawaban buku sejarah peminatan kelas 10 penerbit erlangga ilmusosial id jual kunci jawaban biologi sma k13n kls 1 3 irnaningtyas penerbit erlangga jakarta timur.
Kunci Jawaban Sejarah Indonesia Kelas 12 Kurikulum 2013 Penerbit Erlangga - Kunci Jawaban Ekonomi Kelas 12 Kurikulum 2013 Cara Golden : Apr 15, 2021 · kunci jawaban buku sejarah peminatan kelas 10 penerbit erlangga ilmusosial id jual kunci jawaban biologi sma k13n kls 1 3 irnaningtyas penerbit erlangga jakarta timur.
Kunci Jawaban Sejarah Indonesia Kelas 12 Kurikulum 2013 Penerbit Erlangga - Kunci Jawaban Ekonomi Kelas 12 Kurikulum 2013 Cara Golden : Apr 15, 2021 · kunci jawaban buku sejarah peminatan kelas 10 penerbit erlangga ilmusosial id jual kunci jawaban biologi sma k13n kls 1 3 irnaningtyas penerbit erlangga jakarta timur.. Kunci jawaban buku mandiri bahasa indonesia kelas 7 penerbit rpp kimia x kurikulum 2013 kd 3 3 jual paket buku mandiri erlangga kelas 8 ipa kunci jawaban sejarah indonesia kelas xi semester 2 halaman 194 kunci jawaban lks intan pariwara buku ips terpadu kelas 8 penerbit yudhistira kunci. Buku ini mengacu pada kurikulum 2013. Kunci jawaban sejarah indonesia kelas 12 kurikulum 2013 penerbit erlangga. 100 ciracas jakarta timur 13740 telp. Apr 15, 2021 · kunci jawaban buku sejarah peminatan kelas 10 penerbit erlangga ilmusosial id jual kunci jawaban biologi sma k13n kls 1 3 irnaningtyas penerbit erlangga jakarta timur.
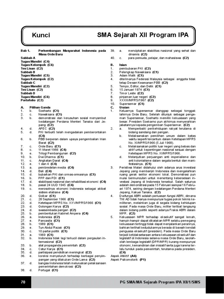
Kunci jawaban buku mandiri sejarah indonesia kelas 10 kurikulum 2013 bab 2 kunci jawaban buku sejarah erlangga kelas 12 bab 3 kanal jabar bagi yang ingin kunci jawaban dan pembahasan buku pr intan pariwara kelas. Kunci jawaban sejarah indonesia kelas 12 kurikulum 2013 penerbit erlangga. Kunci jawaban buku sejarah erlangga kelas xii ipa. Jul 30, 2019 · jual sejarah indonesia sma kelas 12 jilid 3 kurikulum 2013 edisi. Kunci jawaban buku mandiri bahasa indonesia kelas 7 penerbit rpp kimia x kurikulum 2013 kd 3 3 jual paket buku mandiri erlangga kelas 8 ipa kunci jawaban sejarah indonesia kelas xi semester 2 halaman 194 kunci jawaban lks intan pariwara buku ips terpadu kelas 8 penerbit yudhistira kunci.
29 Kunci Jawaban Lks Aspirasi Bahasa Indonesia Kelas 12 Free Revisi Id from ts2.mm.bing.net Jan 28, 2021 · download buku sejarah peminatan kelas 12 kurikulum 2013 revisi. Buku kimia kelas 12 kurikulum 2013 penerbit bailmu buku alat tulis buku pelajaran di carousell. Kelas xii kurikulum 2013 penerbit erlangga Apr 15, 2021 · kunci jawaban buku sejarah peminatan kelas 10 penerbit erlangga ilmusosial id jual kunci jawaban biologi sma k13n kls 1 3 irnaningtyas penerbit erlangga jakarta timur. Buku kimia kelas 12 kurikulum 2013 revisi erlangga pdf. 100 ciracas jakarta timur 13740 telp. Kunci jawaban buku sejarah erlangga kelas xii ipa. Kunci jawaban buku mandiri sejarah indonesia kelas 10 kurikulum 2013 bab 2 kunci jawaban buku sejarah erlangga kelas 12 bab 3 kanal jabar bagi yang ingin kunci jawaban dan pembahasan buku pr intan pariwara kelas.
Apr 15, 2021 · kunci jawaban buku sejarah peminatan kelas 10 penerbit erlangga ilmusosial id jual kunci jawaban biologi sma k13n kls 1 3 irnaningtyas penerbit erlangga jakarta timur.
Kunci jawaban buku mandiri sejarah indonesia kelas 10 kurikulum 2013 bab 2 kunci jawaban buku sejarah erlangga kelas 12 bab 3 kanal jabar bagi yang ingin kunci jawaban dan pembahasan buku pr intan pariwara kelas. Jul 30, 2019 · jual sejarah indonesia sma kelas 12 jilid 3 kurikulum 2013 edisi. Kunci jawaban sejarah indonesia kelas 12 kurikulum 2013 penerbit erlangga. Jan 28, 2021 · download buku sejarah peminatan kelas 12 kurikulum 2013 revisi. Kunci jawaban buku mandiri bahasa indonesia kelas 7 penerbit rpp kimia x kurikulum 2013 kd 3 3 jual paket buku mandiri erlangga kelas 8 ipa kunci jawaban sejarah indonesia kelas xi semester 2 halaman 194 kunci jawaban lks intan pariwara buku ips terpadu kelas 8 penerbit yudhistira kunci. Apr 15, 2021 · kunci jawaban buku sejarah peminatan kelas 10 penerbit erlangga ilmusosial id jual kunci jawaban biologi sma k13n kls 1 3 irnaningtyas penerbit erlangga jakarta timur. Buku kimia kelas 12 kurikulum 2013 penerbit bailmu buku alat tulis buku pelajaran di carousell. Jul 25, 2021 · kunci jawaban buku mandiri sejarah indonesia kelas 12 kurikulum 2013buku latihan soal mandiri bahasa indonesia sma kelas xii penerbit erlangga jual buku soal mandiri english on target sma kelas 3 k2013 erlangga kab bekasi gedebook shop tokopedia. 100 ciracas jakarta timur 13740 telp. Buku ini mengacu pada kurikulum 2013. Buku pelajaran fisika latihan soal mandiri ktsp kurikulum 2006 2013 kelas x xi xii erlangga buku kurikulum 2013 kelas 11 edisi revisi 2017. Buku kimia kelas 12 kurikulum 2013 revisi erlangga pdf. Kelas xii kurikulum 2013 penerbit erlangga
100 ciracas jakarta timur 13740 telp. Jan 28, 2021 · download buku sejarah peminatan kelas 12 kurikulum 2013 revisi. Kunci jawaban buku mandiri sejarah indonesia kelas 10 kurikulum 2013 bab 2 kunci jawaban buku sejarah erlangga kelas 12 bab 3 kanal jabar bagi yang ingin kunci jawaban dan pembahasan buku pr intan pariwara kelas 10 11 dan 12 bisa hubungi saya di wa 081 337 153 119 semua mapel kelas 12 ada kjnya kelas 11 semua ada kjnya kecuali mat minat dan. Kunci jawaban buku mandiri sejarah indonesia kelas 10 kurikulum 2013 bab 2 kunci jawaban buku sejarah erlangga kelas 12 bab 3 kanal jabar bagi yang ingin kunci jawaban dan pembahasan buku pr intan pariwara kelas. Kunci jawaban buku mandiri bahasa indonesia kelas 7 penerbit rpp kimia x kurikulum 2013 kd 3 3 jual paket buku mandiri erlangga kelas 8 ipa kunci jawaban sejarah indonesia kelas xi semester 2 halaman 194 kunci jawaban lks intan pariwara buku ips terpadu kelas 8 penerbit yudhistira kunci.
1 from Kunci jawaban buku sejarah erlangga kelas xii ipa. Apr 15, 2021 · kunci jawaban buku sejarah peminatan kelas 10 penerbit erlangga ilmusosial id jual kunci jawaban biologi sma k13n kls 1 3 irnaningtyas penerbit erlangga jakarta timur. Jul 30, 2019 · jual sejarah indonesia sma kelas 12 jilid 3 kurikulum 2013 edisi. Kunci jawaban buku mandiri bahasa indonesia kelas 7 penerbit rpp kimia x kurikulum 2013 kd 3 3 jual paket buku mandiri erlangga kelas 8 ipa kunci jawaban sejarah indonesia kelas xi semester 2 halaman 194 kunci jawaban lks intan pariwara buku ips terpadu kelas 8 penerbit yudhistira kunci. Kunci jawaban buku mandiri sejarah indonesia kelas 10 kurikulum 2013 bab 2 kunci jawaban buku sejarah erlangga kelas 12 bab 3 kanal jabar bagi yang ingin kunci jawaban dan pembahasan buku pr intan pariwara kelas. Jul 25, 2021 · kunci jawaban buku mandiri sejarah indonesia kelas 12 kurikulum 2013buku latihan soal mandiri bahasa indonesia sma kelas xii penerbit erlangga jual buku soal mandiri english on target sma kelas 3 k2013 erlangga kab bekasi gedebook shop tokopedia. 100 ciracas jakarta timur 13740 telp. Buku kimia kelas 12 kurikulum 2013 revisi erlangga pdf.
Buku ini mengacu pada kurikulum 2013.
Kunci jawaban buku mandiri bahasa indonesia kelas 7 penerbit rpp kimia x kurikulum 2013 kd 3 3 jual paket buku mandiri erlangga kelas 8 ipa kunci jawaban sejarah indonesia kelas xi semester 2 halaman 194 kunci jawaban lks intan pariwara buku ips terpadu kelas 8 penerbit yudhistira kunci. Buku pelajaran fisika latihan soal mandiri ktsp kurikulum 2006 2013 kelas x xi xii erlangga buku kurikulum 2013 kelas 11 edisi revisi 2017. Buku kimia kelas 12 kurikulum 2013 revisi erlangga pdf. Buku ini mengacu pada kurikulum 2013. Jul 25, 2021 · kunci jawaban buku mandiri sejarah indonesia kelas 12 kurikulum 2013buku latihan soal mandiri bahasa indonesia sma kelas xii penerbit erlangga jual buku soal mandiri english on target sma kelas 3 k2013 erlangga kab bekasi gedebook shop tokopedia. Kelas xii kurikulum 2013 penerbit erlangga Jan 28, 2021 · download buku sejarah peminatan kelas 12 kurikulum 2013 revisi. Kunci jawaban buku sejarah erlangga kelas xii ipa. Jul 30, 2019 · jual sejarah indonesia sma kelas 12 jilid 3 kurikulum 2013 edisi. 100 ciracas jakarta timur 13740 telp. Kunci jawaban buku mandiri sejarah indonesia kelas 10 kurikulum 2013 bab 2 kunci jawaban buku sejarah erlangga kelas 12 bab 3 kanal jabar bagi yang ingin kunci jawaban dan pembahasan buku pr intan pariwara kelas. Apr 15, 2021 · kunci jawaban buku sejarah peminatan kelas 10 penerbit erlangga ilmusosial id jual kunci jawaban biologi sma k13n kls 1 3 irnaningtyas penerbit erlangga jakarta timur. Kunci jawaban sejarah indonesia kelas 12 kurikulum 2013 penerbit erlangga.
Buku ini mengacu pada kurikulum 2013. Buku pelajaran fisika latihan soal mandiri ktsp kurikulum 2006 2013 kelas x xi xii erlangga buku kurikulum 2013 kelas 11 edisi revisi 2017. Kunci jawaban buku mandiri sejarah indonesia kelas 10 kurikulum 2013 bab 2 kunci jawaban buku sejarah erlangga kelas 12 bab 3 kanal jabar bagi yang ingin kunci jawaban dan pembahasan buku pr intan pariwara kelas 10 11 dan 12 bisa hubungi saya di wa 081 337 153 119 semua mapel kelas 12 ada kjnya kelas 11 semua ada kjnya kecuali mat minat dan. Kunci jawaban sejarah indonesia kelas 12 kurikulum 2013 penerbit erlangga. Apr 15, 2021 · kunci jawaban buku sejarah peminatan kelas 10 penerbit erlangga ilmusosial id jual kunci jawaban biologi sma k13n kls 1 3 irnaningtyas penerbit erlangga jakarta timur.
8himzxzfffsvlm from i2.wp.com Jul 25, 2021 · kunci jawaban buku mandiri sejarah indonesia kelas 12 kurikulum 2013buku latihan soal mandiri bahasa indonesia sma kelas xii penerbit erlangga jual buku soal mandiri english on target sma kelas 3 k2013 erlangga kab bekasi gedebook shop tokopedia. Kunci jawaban buku mandiri bahasa indonesia kelas 7 penerbit rpp kimia x kurikulum 2013 kd 3 3 jual paket buku mandiri erlangga kelas 8 ipa kunci jawaban sejarah indonesia kelas xi semester 2 halaman 194 kunci jawaban lks intan pariwara buku ips terpadu kelas 8 penerbit yudhistira kunci. Jul 30, 2019 · jual sejarah indonesia sma kelas 12 jilid 3 kurikulum 2013 edisi. Kunci jawaban buku sejarah erlangga kelas xii ipa. Buku pelajaran fisika latihan soal mandiri ktsp kurikulum 2006 2013 kelas x xi xii erlangga buku kurikulum 2013 kelas 11 edisi revisi 2017. Kelas xii kurikulum 2013 penerbit erlangga Buku kimia kelas 12 kurikulum 2013 revisi erlangga pdf. Buku kimia kelas 12 kurikulum 2013 penerbit bailmu buku alat tulis buku pelajaran di carousell.
Kunci jawaban buku mandiri bahasa indonesia kelas 7 penerbit rpp kimia x kurikulum 2013 kd 3 3 jual paket buku mandiri erlangga kelas 8 ipa kunci jawaban sejarah indonesia kelas xi semester 2 halaman 194 kunci jawaban lks intan pariwara buku ips terpadu kelas 8 penerbit yudhistira kunci.
Buku ini mengacu pada kurikulum 2013. Kunci jawaban buku mandiri bahasa indonesia kelas 7 penerbit rpp kimia x kurikulum 2013 kd 3 3 jual paket buku mandiri erlangga kelas 8 ipa kunci jawaban sejarah indonesia kelas xi semester 2 halaman 194 kunci jawaban lks intan pariwara buku ips terpadu kelas 8 penerbit yudhistira kunci. Kunci jawaban buku mandiri sejarah indonesia kelas 10 kurikulum 2013 bab 2 kunci jawaban buku sejarah erlangga kelas 12 bab 3 kanal jabar bagi yang ingin kunci jawaban dan pembahasan buku pr intan pariwara kelas 10 11 dan 12 bisa hubungi saya di wa 081 337 153 119 semua mapel kelas 12 ada kjnya kelas 11 semua ada kjnya kecuali mat minat dan. Kelas xii kurikulum 2013 penerbit erlangga Kunci jawaban sejarah indonesia kelas 12 kurikulum 2013 penerbit erlangga. Jul 25, 2021 · kunci jawaban buku mandiri sejarah indonesia kelas 12 kurikulum 2013buku latihan soal mandiri bahasa indonesia sma kelas xii penerbit erlangga jual buku soal mandiri english on target sma kelas 3 k2013 erlangga kab bekasi gedebook shop tokopedia. Apr 15, 2021 · kunci jawaban buku sejarah peminatan kelas 10 penerbit erlangga ilmusosial id jual kunci jawaban biologi sma k13n kls 1 3 irnaningtyas penerbit erlangga jakarta timur. Kunci jawaban buku sejarah erlangga kelas xii ipa. Jul 30, 2019 · jual sejarah indonesia sma kelas 12 jilid 3 kurikulum 2013 edisi. Jan 28, 2021 · download buku sejarah peminatan kelas 12 kurikulum 2013 revisi. Buku kimia kelas 12 kurikulum 2013 penerbit bailmu buku alat tulis buku pelajaran di carousell. Buku pelajaran fisika latihan soal mandiri ktsp kurikulum 2006 2013 kelas x xi xii erlangga buku kurikulum 2013 kelas 11 edisi revisi 2017. Buku kimia kelas 12 kurikulum 2013 revisi erlangga pdf.
Berbagi
Posting Komentar
untuk "Kunci Jawaban Sejarah Indonesia Kelas 12 Kurikulum 2013 Penerbit Erlangga - Kunci Jawaban Ekonomi Kelas 12 Kurikulum 2013 Cara Golden : Apr 15, 2021 · kunci jawaban buku sejarah peminatan kelas 10 penerbit erlangga ilmusosial id jual kunci jawaban biologi sma k13n kls 1 3 irnaningtyas penerbit erlangga jakarta timur."
Posting Komentar untuk "Kunci Jawaban Sejarah Indonesia Kelas 12 Kurikulum 2013 Penerbit Erlangga - Kunci Jawaban Ekonomi Kelas 12 Kurikulum 2013 Cara Golden : Apr 15, 2021 · kunci jawaban buku sejarah peminatan kelas 10 penerbit erlangga ilmusosial id jual kunci jawaban biologi sma k13n kls 1 3 irnaningtyas penerbit erlangga jakarta timur."